來源:天氏庫力 發布日期
2025-04-30 瀏覽:在材料力學中,模量(Modulus)是描述材料抵抗變形能力的核心參數,本質上是材料在特定受力條件下應力與應變的比例關系。不同的模量對應不同變形形式,共同揭示材料的“剛度”特性。在材料力學中,常見的模量及其物理意義如下:
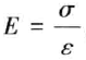
定義:材料在單向拉伸或壓縮時,應力(σ)與線應變(ε)的比值,即

物理意義:表征材料抵抗彈性變形的能力。E 值越大,材料越剛硬,相同應力下變形越小。
應用:計算桿件、梁在軸向載荷下的變形(如橋梁、建筑結構)。
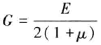
定義:剪切應力(τ)與剪切應變(γ)的比值,即

物理意義:反映材料抵抗剪切變形的能力(如螺栓受剪、軸扭轉時的變形)。值越大,材料抗扭性能越好。
與彈性模量的關系:

μ為泊松比
應用:螺栓防剪,汽車傳動軸設計
定義:靜水壓力(P)與體積應變(ΔV)的負比值,即

物理意義:表示材料抵抗體積壓縮的能力。 K 越大,材料越難被壓縮(如水的 ( K )值極高)。
與彈性模量的關系:

泊松比(Poisson's Ratio,符號:( μ)):橫向應變與軸向應變的比值,反映材料橫向變形特性。

數值范圍:
大多數材料 νν 在 0 到 0.5 之間。
金屬(如鋼、鋁):0.2~0.35、
橡膠:接近 0.5(幾乎不可壓縮)
軟木:接近 0(拉伸時幾乎不收縮)
物理意義:
ν=0.5:材料體積不變(如橡膠拉伸時僅變長,不“變瘦”)
ν=0:材料無橫向變形(如軟木被壓縮時只變短,不“變胖”)。
常見材料E和μ的值

對于各向同性材料,三個基本模量可通過泊松比相互轉換:

|
模量名稱 |
作用 |
典型應用場景 |
|
彈性模量 ( E ) |
抵抗單向拉伸/壓縮變形 |
桁架、立柱的軸向變形計算 |
|
剪切模量 ( G ) |
抵抗剪切變形 |
螺栓剪切、軸的扭轉分析 |
|
體積模量 ( K ) |
抵抗體積壓縮 |
高壓容器、流體靜力學分析 |
這些模量是材料力學中分析結構彈性行為的核心參數,適用于各向同性材料在小變形條件下的線性彈性階段。
【本文標簽】:材料,力學,中的,模量,在,材料,力學,中,模量,Modu
【責任編輯】:天氏庫力 版權所有:http://m.jy3b.com/轉載請注明出處